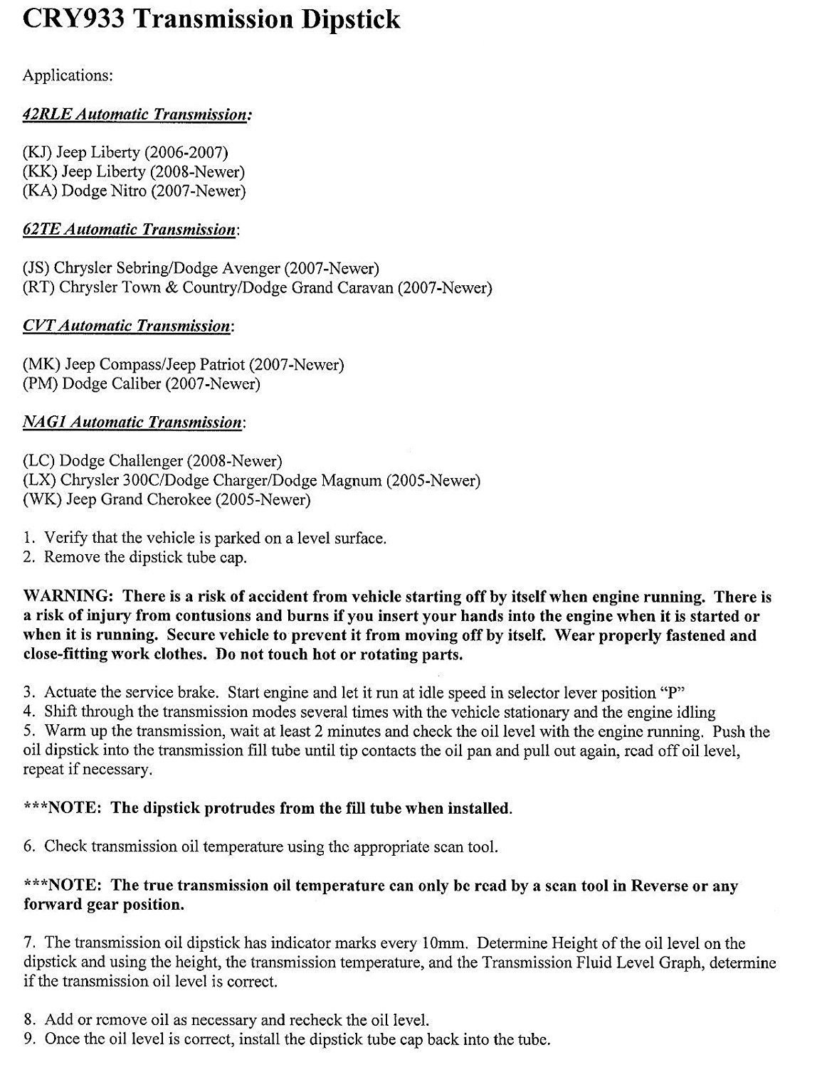
щуп мерный коробки Лянча chrysler voyager town country journey 62te
5 человек интересуются этим товаром
Параметры
Описание
ZAPZA — уникальный маркетплейс запчастей аксессуаров и услуг для физ и юр лиц. В каталоге маркетплейса ZAPZA представлены новые, оригинальные и их аналоги авто детали разных брендов. Новые запчасти для всех типов транспорта.
ZAPZA - автоматизированный маркетплейс от выбора товара до его получения.
Внимание! При получении посылки в пункте выдачи или курьером, обязательно проверьте её содержимое. Если заметите дефекты, сделайте фото и видео, и зафиксируйте повреждения в присутствии сотрудника. Мы всегда готовы помочь и сделать всё, чтобы ваш опыт покупок на zapza.ru был максимально комфортным и безопасным.
5 человек интересуются этим товаром






